Non-isothermal CO2 Plume Evolution and Leakage Through an Abandoned Well
Context
This validation case is a more complex version of the benchmark problem presented in CO2 Plume Evolution and Leakage Through an Abandoned Well. While the latter is based on simple isothermal and immiscible fluid properties, the present validation case relies on a more realistic fluid behavior accounting for thermal effects and mass exchange between phases. This non-isothermal benchmark test has been used in (Class et al., 2009) to compare different implementations of CO2-brine fluid properties in the context of CO2 injection and storage in saline aquifers.
Our goal is to review the sections of the XML file that are used to parameterize the CO2-brine fluid behavior, and to demonstrate that GEOS produces similar results as those presented in (Class et al., 2009).
Input file
This benchmark test is based on the XML file located below:
inputFiles/compositionalMultiphaseFlow/benchmarks/thermalLeakyWell/thermalLeakyWell_benchmark.xml
Problem description
Some of the text below is adapted from (Ebigbo, Class, Helmig, 2007).
The benchmark scenario remains the same as in CO2 Plume Evolution and Leakage Through an Abandoned Well. CO2 is injected into an aquifer, spreads within the aquifer, and, upon reaching a leaky well, rises up to a shallower aquifer. The model domain still has the dimensions: 1000 x 1000 x 160 m, but it is now assumed to be shallower, between 640 m and 800 m of depth.
The figure below shows the pressure and temperature in the formation at the mentioned depths (assuming a geothermal gradient of 0.03 K/m). The conditions in the aquifer at the considered depths range from supercritical to liquid to gaseous. The figure also shows the CO2 density at the conditions of the formation. There is a large change in density at a certain depth. This depth corresponds to the point where the line depicting the formation conditions crosses the CO2 saturation vapor curve, that is, the boundary between liquid and gaseous CO2. Other fluid properties such as viscosity also change abruptly at that depth.
Fig. 9 Aquifer conditions (image taken from (Ebigbo, Class, Helmig, 2007)).
Therefore, as explained later, we use a more sophisticated fluid model in which the CO2 and brine fluid properties are now a function of the aquifer conditions, such as pressure, temperature, and salinity. Specifically:
The CO2 component is present in the CO2-rich phase but can also dissolve in the brine phase. The amount of dissolved CO2 depends on pressure, temperature, and salinity. For now, in GEOS, the water component cannot be present in the CO2-rich phase.
Densities and viscosities depend nonlinearly on pressure, temperature, and salinity.
The hydrostatic initial condition accounts for the geothermal gradient of 0.03 K/m specified in the benchmark description.
We plan to use two types of physical models in this benchmark:
A model simulating flow and mass transfer, but not heat transfer (i.e., no energy balance is used). The geothermal gradient is constant in time, and is taken into account in the calculation of temperature-dependent properties.
A fully thermal model simulating flow as well as mass and heat transfer. The results obtained with this more complex model are not available yet and will be added to this page later.
Mesh and element regions
As illustrated by the ECLIPSE results in (Class et al., 2009), the leakage rate exhibits a high dependence on the degree of spatial refinement (particularly between the two wells in our observations). Therefore, we consider two meshes in this test case:
A “coarse” mesh with 206070 cells, whose spatial resolution is similar to that used by most codes based on the information provided by Table 13 of (Class et al., 2009).
A “fine” mesh with 339390 cells, whose spatial resolution is finer between the two wells.
These structured meshes are defined as in CO2 Plume Evolution and Leakage Through an Abandoned Well, as shown next for the “fine” mesh.
<Mesh>
<InternalMesh
name="mesh"
elementTypes="{ C3D8 }"
xCoords="{ -500, -0.1329, 0.1329, 99.8671, 100.1329, 500 }"
yCoords="{ -500, -0.1329, 0.1329, 500 }"
zCoords="{ -800, -770, -670, -640 }"
nx="{ 50, 1, 20, 1, 40 }"
ny="{ 50, 1, 50 }"
nz="{ 20, 30, 10 }"
cellBlockNames="{ aquiferBottom00, aquiferBottom10, aquiferBottom20, aquiferBottom30, aquiferBottom40,
aquiferBottom01, aquiferBottom11, aquiferBottom21, aquiferBottom31, aquiferBottom41,
aquiferBottom02, aquiferBottom12, aquiferBottom22, aquiferBottom32, aquiferBottom42,
aquitard00, aquitard10, aquitard20, aquitard30, aquitard40,
aquitard01, aquitard11, aquitard21, aquitard31, aquitard41,
aquitard02, aquitard12, aquitard22, aquitard32, aquitard42,
aquiferTop00, aquiferTop10, aquiferTop20, aquiferTop30, aquiferTop40,
aquiferTop01, aquiferTop11, aquiferTop21, aquiferTop31, aquiferTop41,
aquiferTop02, aquiferTop12, aquiferTop22, aquiferTop32, aquiferTop42 }"/>
</Mesh>
As in the previous benchmark, we define four element regions whose material list now includes the name of
the capillary pressure constitutive model (cappres).
We refer the reader to CO2 Plume Evolution and Leakage Through an Abandoned Well for an example of this procedure.
Flow solver
Although the fluid behavior is significantly different from that of the previous benchmark, we still use the GEOS general-purpose multiphase flow solver defined in the XML block CompositionalMultiphaseFVM:
<Solvers>
<CompositionalMultiphaseFVM
name="compflow"
logLevel="1"
discretization="fluidTPFA"
temperature="307.15"
initialDt="1"
useMass="1"
targetRegions="{ aquiferTop, aquiferBottom, injectionWell, leakyWell }">
<NonlinearSolverParameters
newtonTol="1.0e-3"
newtonMaxIter="20"
timeStepIncreaseIterLimit="0.5"
timeStepDecreaseIterLimit="0.9"
maxTimeStepCuts="5"
lineSearchAction="Attempt"/>
<LinearSolverParameters
solverType="fgmres"
preconditionerType="mgr"
krylovTol="1e-4"/>
</CompositionalMultiphaseFVM>
</Solvers>
Note
The attribute temperature listed above is mandatory, but are overridden by GEOS to impose a non-uniform geothermal gradient along the z-axis, as we will see later.
Constitutive models
The Brooks-Corey relative permeabilities and capillary pressure are described using tables constructed from the parameters values provided in the benchmark description, with a wetting-phase saturation range between 0.2 and 0.95, an entry pressure of 10000 Pa, and a Brooks-Corey parameter of 2. We refer the reader to the files used in the TableFunction listed below for the exact values that we have used:
<TableRelativePermeability
name="relperm"
phaseNames="{ gas, water }"
wettingNonWettingRelPermTableNames="{ waterRelativePermeabilityTable,
gasRelativePermeabilityTable }"/>
<TableCapillaryPressure
name="cappres"
phaseNames="{ gas, water }"
wettingNonWettingCapPressureTableName="waterCapillaryPressureTable"/>
The two-phase, two-component CO2-brine model implemented in GEOS is parameterized in the CO2BrinePhillips XML block:
<CO2BrinePhillipsFluid
name="fluid"
phaseNames="{ gas, water }"
componentNames="{ co2, water }"
componentMolarWeight="{ 44e-3, 18e-3 }"
phasePVTParaFiles="{ pvtgas.txt, pvtliquid.txt }"
flashModelParaFile="co2flash.txt"/>
The components of this fluid model are described in detail in the CO2-brine model and are briefly summarized below. They are parameterized using three parameter files that must be written carefully to obtain the desired behavior, as explained next.
CO2 density and viscosity
These properties are obtained using the models proposed by Span and Wagner (1996) and Fenghour and Wakeham (1998)
for density and viscosity, respectively.
The density and viscosity values are internally tabulated by GEOS at the beginning of the simulation by solving
the Helmholtz energy equation for each pair .
The tables size and spacing are specified in the file pvtgas.txt. Here, for both quantities, the values are tabulated between 6.6e6 Pa and 4e7 Pa, with a pressure spacing of 1e6 Pa, and between 302 K and 312 K, with a temperature increment of 5 K. These values have been chosen using the initial condition and an upper bound on the expected pressure increase during the simulation.
DensityFun SpanWagnerCO2Density 6.6e6 4e7 1e6 302.0 312.0 5
ViscosityFun FenghourCO2Viscosity 6.6e6 4e7 1e6 302.0 312.0 5
Note
If pressure or temperature go outside the values specified in this parameter file, constant extrapolation is used to obtain the density and viscosity values. Note that for now, no warning is issued by GEOS when this happens. We plan to add a warning message to document this behavior in the near future.
Brine density and viscosity
These properties depend on pressure, temperature, composition, and salinity via the models proposed by Phillips et al. (1981). The brine density is modified to account for the presence of dissolved CO2 using the method proposed by Garcia (2001). The values of (pure) brine density are also tabulated at a function of pressure and temperature, and we use the same range as for the CO2 properties to construct this table:
DensityFun PhillipsBrineDensity 6.6e6 4e7 1e6 302.0 312.0 5 1.901285269
ViscosityFun PhillipsBrineViscosity 1.901285269
Importantly, the last value on each line in the file pvtliquid.txt defines the salinity in the domain. In our model, salinity is constant in space and in time (i.e., unlike water and CO2, it is not tracked as a component in GEOS). In our model, salinity is specified as a molal concentration in mole of NaCl per kg of solvent (brine). The value used here (1000 x 10 / ( 58.44 x ( 100 - 10 ) ) = 1.901285269 moles/kg) is chosen to match the value specified in the benchmark (weight% of 10%).
CO2 solubility in brine
As explained in CO2-brine model, we use the highly nonlinear model proposed by Duan and Sun (2004) to compute the CO2 solubility as a function of pressure, temperature, composition, and salinity. In co2flash.txt, we use the same parameters as above to construct the pressure-temperature tables of precomputed CO2 solubility in brine.
FlashModel CO2Solubility 6.6e6 4e7 1e6 302.0 312.0 5 1.901285269
Initial and boundary conditions
The domain is initially saturated with brine with a hydrostatic pressure field and a geothermal gradient of 0.03 K/m. This is specified using the HydrostaticEquilibrium XML tag in the FieldSpecifications block:
<HydrostaticEquilibrium
name="equil"
objectPath="ElementRegions"
datumElevation="-800"
datumPressure="8.499e6"
initialPhaseName="water"
componentNames="{ co2, water }"
componentFractionVsElevationTableNames="{ initCO2CompFracTable,
initWaterCompFracTable }"
temperatureVsElevationTableName="initTempTable"/>
Although this is the same block as in CO2 Plume Evolution and Leakage Through an Abandoned Well, GEOS is now enforcing the
geothermal gradient specified in the TableFunction named initTempTable, and is also accounting
for the nonlinear temperature dependence of brine density to equilibrate the pressure field.
We use the simple table-based approach shown below to impose the Dirichlet boundary conditions on the four sides of the domain.
<FieldSpecification
name="bcPressure"
objectPath="faceManager"
setNames="{ east, west, south, north }"
fieldName="pressure"
functionName="pressureFunction"
scale="1"/>
<FieldSpecification
name="bcTemperature"
objectPath="faceManager"
setNames="{ east, west, south, north }"
fieldName="temperature"
functionName="initTempTable"
scale="1"/>
<FieldSpecification
name="bcCompositionCO2"
setNames="{ east, west, south, north }"
objectPath="faceManager"
fieldName="globalCompFraction"
component="0"
scale="0.000001"/>
<FieldSpecification
name="bcCompositionWater"
setNames="{ east, west, south, north }"
objectPath="faceManager"
fieldName="globalCompFraction"
component="1"
scale="0.999999"/>
where the setNames = "{ east, west, south, north }" are defined using the Box
XML tags of the Geometry section, and where the tables are defined as TableFunction
in the Functions section.
Note
Due to the nonlinear dependence of brine density on temperature, this block does not exactly impose a Dirichlet pressure equal to the initial condition. Instead, here, we impose a linear pressure gradient along the z-axis, whose minimum and maximum values are the same as in the initial state. We could have imposed Dirichlet boundary conditions preserving the initial condition using as many points in zlin.geos as there are cells along the z-axis (instead of just two points).
The SourceFlux is the same as in the previous benchmark case (see CO2 Plume Evolution and Leakage Through an Abandoned Well).
Inspecting results
We request VTK-format output files and use Paraview to visualize the results. The following figures show the distribution of CO2 saturation and pressure along the slice defined by x = 0 at t = 1,000 days.
Fig. 10 CO2 saturation after 1,000 days
Fig. 11 Pressure after 1,000 days
To validate the GEOS results, we consider the metrics used in (Class et al., 2009) as previously done in CO2 Plume Evolution and Leakage Through an Abandoned Well.
First, we consider the arrival time of the CO2 plume at the leaky well. As in (Class et al., 2009), we use the leakage rate threshold of 0.005% to detect the arrival time. In our numerical tests, the arrival time is highly dependent on the degree of spatial refinement in the vicinity of the wells and on the time step size, but these parameters are not documented in (Class et al., 2009). The next table reports the GEOS arrival time at the leaky well and compares it with the values published in (Class et al., 2009).
Code |
Arrival time [day] |
|---|---|
GEOSX COARSE |
36.8 |
GEOSX FINE |
46.7 |
COORES |
31 |
ECLIPSE HW |
42 |
ECLIPSE SCHLUMBERGER COARSE |
24 |
ECLIPSE SCHLUMBERGER FINE |
34 |
RockFlow |
30 |
TOUGH2 |
46 |
Note
In the table above, we only included the values obtained with the codes that do not solve an energy balance equation. The values obtained with the fully thermal codes (FEHM, MUFTE, and RTAFF2) are omitted for now.
Next, we measure the CO2 leakage rate through the leaky well, defined by the authors as the CO2 mass flow at midway between top and bottom aquifers divided by the injection rate (8.87 kg/s), in percent. The GEOS leakage rate is shown in the figure below:
We see that GEOS produces a reasonable match with the numerical codes considered in the study. Although it is not possible to exactly match the published results (due to the lack of information on the problem, such as mesh refinement and time step size), GEOS reproduces well the trend exhibited by the other codes.
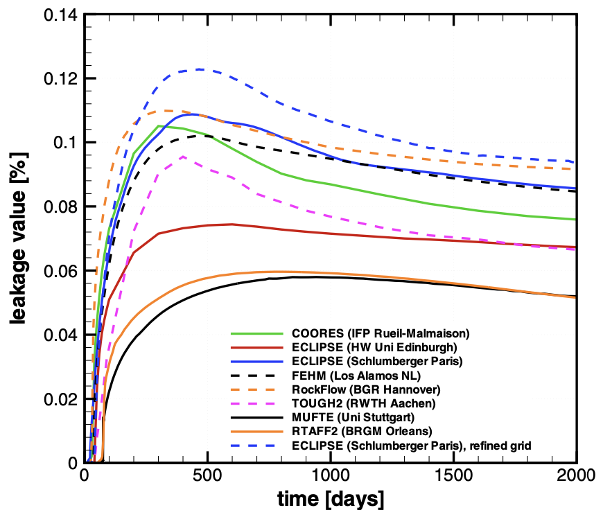
For reference, we include below the original figure from (Class et al., 2009) containing all the results, including those obtained with the codes solving an energy equation.
Fig. 12 Leakage rates [%] obtained with the simulators considered in (Class et al., 2009).
To further validate the GEOS results, we reproduce below Table 9 of (Class et al., 2009) (only considering codes that do not solve an energy equation) to compare the maximum leakage rate, the time at which this maximum leakage rate is attained, and the leakage rate at 2000 days. We observe that the GEOS values are in the same range as those considered in the benchmark.
Code |
Max leakage [%] |
Time at max leakage [day] |
Leakage at 2000 days [%] |
|---|---|---|---|
GEOSX COARSE |
0.102 |
438.5 |
0.075 |
GEOSX FINE |
0.115 |
425.0 |
0.085 |
COORES |
0.105 |
300 |
0.076 |
ECLIPSE HW |
0.074 |
600 |
0.067 |
ECLIPSE SCHLUMBERGER COARSE |
0.109 |
437 |
0.086 |
ECLIPSE SCHLUMBERGER FINE |
0.123 |
465 |
0.094 |
RockFlow |
0.11 |
279 |
0.09 |
TOUGH2 |
0.096 |
400 |
0.067 |
This table confirms the agreement between GEOS and the results of (Class et al., 2009).
To go further
Feedback on this example
For any feedback on this example, please submit a GitHub issue on the project’s GitHub page.