Deviated Poro-Elastic Wellbore Subjected to In-situ Stresses and Pore Pressure
Problem description
This example deals with the problem of drilling a deviated poro-elastic wellbore. This is an extension of the poroelastic wellbore example Deviated Poro-Elastic Wellbore Subjected to Fluid Injection with the consideration of in-situ stresses and in-situ pore pressure. Both pore pressure and mud pressure are supposed to be nil at the borehole wall following the consideration of (Abousleiman and Cui, 1998). Also, the in-situ horizontal stresses are anisotropic, i.e. >
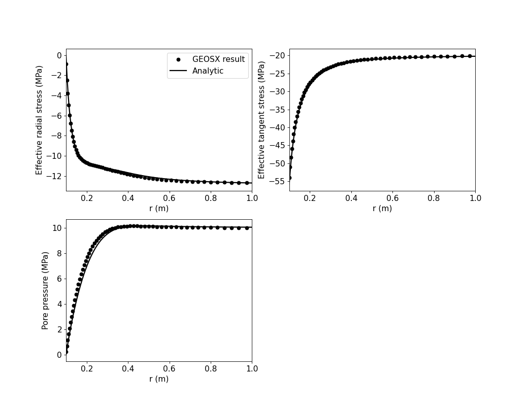
. The wellbore trajectory is deviated from the directions of the in-situ stresses. Analytical solutions of the pore pressure, the radial and hoop stresses in the near wellbore region are given by (Abousleiman and Cui, 1998). They are hereby used to verify the modeling predictions.
Input file
Everything required is contained within two GEOS xml files that are located at:
inputFiles/wellbore/DeviatedPoroElasticWellbore_Drilling_base.xml
inputFiles/wellbore/DeviatedPoroElasticWellbore_Drilling_benchmark.xml
This case is nearly identical to another example Deviated Poro-Elastic Wellbore Subjected to Fluid Injection, except for the FieldSpecifications tag. For this specific case, we need to consider following additional field specifications to define the in-situ stresses, in-situ pore pressure, as well as the zero pore pressure at the borehole wall.
<FieldSpecification
name="initialPorePressure"
initialCondition="1"
setNames="{all}"
objectPath="ElementRegions/Omega/cb1"
fieldName="pressure"
scale="10e6"/>
<FieldSpecification
name="Sx"
initialCondition="1"
setNames="{all}"
objectPath="ElementRegions/Omega/cb1"
fieldName="rock_stress"
component="0"
scale="-21.9e6"/>
<FieldSpecification
name="Sy"
initialCondition="1"
setNames="{all}"
objectPath="ElementRegions/Omega/cb1"
fieldName="rock_stress"
component="1"
scale="-12.9e6"/>
<FieldSpecification
name="Sz"
initialCondition="1"
setNames="{all}"
objectPath="ElementRegions/Omega/cb1"
fieldName="rock_stress"
component="2"
scale="-17.9e6"/>
<FieldSpecification
name="innerPorePressure"
objectPath="faceManager"
fieldName="pressure"
scale="0e6"
setNames="{ rneg }"/>
Results and benchmark
Pore pressure distribution after 78 s injection is shown in the figure below:
A good agreement between the GEOS results and the corresponding analytical solutions (Abousleiman and Cui, 1998) is shown in the figure below:
To go further
Feedback on this example
This concludes the deviated poro-elastic wellbore example with in-situ stresses and pore pressure effects. For any feedback on this example, please submit a GitHub issue on the project’s GitHub page.